Иммунопатогенез смертельной инфекции, вызванной вирусом гриппа птиц H5N1, клады 2.3.4.4b, у макак

В 2024 году на молочном скотоводческом предприятии в штате Техас была выявлена вспышка высокопатогенного гриппа птиц (ВПГП/HPAI) подтипа H5N1. На текущий момент зарегистрировано более 70 случаев инфицирования людей данным вирусом. Большинство из них протекали в легкой форме, однако были зафиксированы и случаи с тяжелым течением, включая летальные исходы.

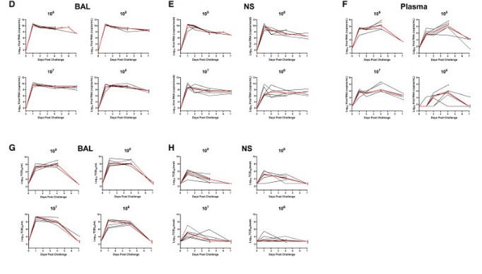
Ключевой вопрос, требующий дальнейшего изучения, заключается в патогенезе тяжёлых форм заболевания, вызванного вирусом гриппа A(H5N1) после респираторной инфекции. В рамках настоящего исследования были изучены механизмы патогенеза данной формы заболевания у яванских макак и макак-резусов, инфицированных изолятом вируса гриппа H5N1 A/Texas/37/2024 (huTX37-H5N1). У яванских макак наблюдалось развитие тяжёлой пневмонии, что привело к летальному исходу у 100% животных в течение семи дней после заражения. В отличие от этого, у макак-резусов отмечалась дозозависимая смертность, а выжившие особи демонстрировали формирование защитного иммунитета против повторного заражения высокими дозами вируса. Мультиомиксный анализ показал, что инфекция H5N1 сопровождается активной индукцией провоспалительных цитокинов, клеток врождённого иммунитета, системы комплемента, коагуляции, апоптоза и иммунного истощения. В совокупности полученные данные свидетельствуют о том, что воспалительные процессы и нарушение регуляции иммунной системы являются ключевыми механизмами патогенеза заболевания, вызванного вирусом гриппа H5N1 у приматов. В перспективе планируется проведение дальнейших исследований для определения роли Т-клеточных реакций и феномена истощения Т-клеток в патогенезе данного заболевания. Кроме того, модели инфекции, вызванные вирусом гриппа H5N1 у приматов, не относящихся к человекообразным видам, будут полезны для оценки эффективности вакцин и терапевтических препаратов.

ссылка на публикацию